王春生教授Nature Energy: 三元共晶水系电解质电化学窗口突破3.3 V

军工资源网 2022年02月08日
水系电解质可以有效缓解了人们对电池安全、成本及环境影响的担忧。然而,由于水的电化学稳定窗口(1.23 V)较窄和可匹配的正极容量较低,该类电化学装置的能量密度较低。2015年,马里兰大学王春生教授课题组首次提出“盐包水”电解质(WiSE)策略将水系电池的电化学稳定性窗口显着扩展至 3.0 V,大大提高了水系电池的能量密度。与传统水系电解质(摩尔浓度为1 mol L−1)相比,以20-30 mol kg-1(m)高摩尔浓度为特征的盐包水电解质可以有效降低水活性并促进固体电解质界面的形成。
此外,水合物盐可以溶解另一种化学性质相似的盐,形成共晶体系,可以获得具有更高盐浓度和更宽电化学稳定性窗口的双盐包水和水合物熔融电解质,从而推动水系电池的能量密度接近非水电池。然而,即使盐浓度达到 63 m, WiSE 的阴极电位仅扩展至 1.75 V,整体电化学稳定性窗口小于3.25 V。为了与商业有机电解质竞争,迫切需要盐包水电解质以外的水性电解质,具有˂5.0 m的较低盐浓度和>3.0 V的更宽电化学稳定性窗口。
为了解决上述挑战,马里兰大学王春生教授课题组报道了一种不易燃的三元共晶电解质---4.5 m LiTFSI-KOH-CO(NH2)2-H2O 水系电解质,通过形成坚固的固体电解质界面,将电化学稳定性窗口扩大到 >3.3 V。在三元共晶电解质中, CO(NH2)2 的引入减少了 Li+ 溶剂化壳中 H2O 的数量,抑制H2O的活性,且在 KOH 催化剂下 LiTFSI 和 CO(NH2)2 的还原形成了坚固的 LiF/聚合物双层 SEI,从而扩大了电化学稳定性窗口。在P/N=1.14和1.5-2.5 mAh·cm-2的面积容量下,使用4.5 m 水系电解质组装的LiMn2O4||Li4Ti5O12软包电池在 1C 下循环 1000 次后仍保持 88% 的容量,平均库仑效率为 99.97%,这是迄今为止报道的水性电解质的最佳性能。此外,富锂Li1.5Mn2O4 || Li4Ti5O12 软包电池在 2.5 mAh cm-2 的高面积容量、1.14 的低正负容量比和贫电解质(3 g Ah-1)下循环471次后仍然保持 92% 的初始容量。 该工作为设计具有宽电化学窗口的水系电解质提供了新的途径,以实现安全、低成本和高比能的水系锂离子电池。上述研究成果以题为“Aqueous electrolyte design for super-stable 2.5 V LiMn2O4 || Li4Ti5O12 pouch cells”发表在Nature Energy上。
图片
4.5 m电解质的溶剂化结构
Raman、FTIR 和NMR光谱分析表明,在4.5 m 和 5.1 m LiTFSI-KOH-CO(NH2)2-H2O水性电解质中均存在CO(NH2)2 和H2O、LiTFSI 和 H2O的强相互作用。这表明LiTFSI 和 CO(NH2)2 都可以降低 H2O 的活性并稳定 H2O,且CO(NH2)2 比 LiTFSI 盐更能稳定 H2O,从而降低盐浓度。
分子动力学模拟表明,将 CO(NH2)2 引入 LiTFSI-H2O 电解质极大地改变了Li+ 溶剂化鞘的结构。CO(NH2)2 可以作为额外的 Li+ 离子配位点,从而取代 Li+ 初级溶剂化壳中的水(图 1d)。在 4.1 m 电解液中,每个 Li+ 平均被 3.1 个 CO(NH2)2、0.3 个 TFSI 和仅 0.6 个 H2O 包围,这比 21 m WiSE中每个 Li+ 初级溶剂化鞘中的 2.6 个 H2O 少。4.5 m 和 5.1 m 电解质具有几乎相同的 Li+ 初级溶剂化结构, 4.5 m 的电解质对应于 (Li(CO(NH2)2)2.5(H2O)0.7(TFSI)0.8) 溶剂化结构(图 1f)。
此外,根据分子动力学模拟,可以清楚地观察到 CO(NH2)2 和 H2O 之间的氢键,这降低了 H2O 的活性。因此,CO(NH2)2的加入可以最大限度地减少阳极表面的界面H2O,抑制H2O的活性,从而扩大电化学稳定性窗口。同时加入少量 KOH 和 CO(NH2)2 可以催化 TFSI 的还原,形成富含 LiF 的 SEI。
图片
图1. 水系电解质中分子间相互作用的光谱分析。
4.5 m电解质的电化学性质
CV测试表明, 三种不同浓度电解质的稳定性窗口从 WiSE 的 3.0 V 显着扩展到 3.3 V,阴极电位从 1.9 V 负移到 1.5 V(图 2a)。其中,4.5 m LiTFSI-KOH-CO(NH2)2-H2O的水性电解质实现了 3.3 V 的加宽电化学窗口。LiTFSI、CO(NH2)2和 KOH 之间的协同作用有助于形成坚固的 SEI 层,成功地将阴极极限推至 1.5 V。
密度泛函理论计算(图 2d)表明, LiTFSI 的还原电位远高于 CO(NH2)2,这表明 LiTFSI 优先于 CO(NH2)2的还原, KOH 进一步加速 LiTFSI 的还原动力学。
图片
图2. 水系电解质的电化学稳定性窗口。
XPS和飞行时间二次离子质谱结果表明,由于形成了强烈的 CO(NH2)2和H2O 相互作用,电极表面形成了由有机外层和富含LiF的内层组成的稳健 SEI:首先,TFSI 在 OH- 存在下通过亲核攻击产生 F- 阴离子。在碱性条件下,F- 阴离子与 Li+ 阳离子快速沉淀,在高电位下形成内部 LiF 层,而在低电位下,尿素在 LiF 外表面电化学聚合成聚脲。这种具有富含 LiF 的内层和有机外层的坚固双层 SEI 有利于性能稳定。
图片
图3. 循环后电极表面SEI 层的结构和化学分析。
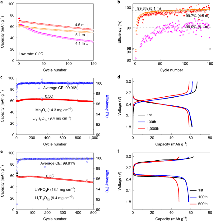
全电池的电化学性能
研究人员将Li4Ti5O12 阳极与 LiMn2O4 或 LiVPO4F 阴极配对,形成具有 1.14 低 P/N 容量比的全电池。结果表明,在三种电解质中,4.5 m电解质综合性能最佳(图4a-b),包括相对较高的离子电导率(1.0 mS cm-1)、低粘度(0.32 Pa s)、较宽的电化学窗口( 3.3 V)、-60 °C的低冷冻温度和225 °C的高热稳定性。面积容量为1.5 mAh cm-2 的LiMn2O4||Li4Ti5O12全电池在 4.5 m 电解液中即使循环 1000 次后仍保持 >87% 的容量,放电容量为 61.3 mAh g-1,对应于 0.5C 时的负极容量为 154.6 mAh g-1,正极容量为 101.6 mAh g-1 (图4c,d)。
图片
图4. 2.5 V LiMn2O4||Li4Ti5O12和2.6 V LiMn2O4||LiVPO4F全电池在1.5 mAh cm-2 下的电池性能
此外,在P/N=1.14和1.5-2.5 mAh·cm-2的面积容量下,LiMn2O4||Li4Ti5O12软包电池在 1C 下循环 1000 次后仍保持 88% 的容量(图 5a),平均库仑效率为 99.97%,这是迄今为止报道的水性电解质的最佳性能。在 2.0 V 电压下持续 12 h 并施加 0.5 MPa 的外部压力,2.5 mAh cm-2 LiMn2O4||Li4Ti5O12软包电池在 500 次循环后表现出 72% 的高容量保持率(图 5b)。
图片
图5. LiMn2O4||Li4Ti5O12软包电池的电化学性能
值得注意的是,面积容量为2.5 mAh cm-2 的LiMn2O4||Li4Ti5O12软包电池在 4.5 m 水性电解质中自放电率(每月容量衰减18.7%)与商业化镍金属氢化物(NiMH)电池(每月 20-30%)相当。此外,LiMn2O4||Li4Ti5O12水系电池的总成本可以达到 110 美元。
参考文献:
Xu, J., Ji, X., Zhang, J. et al. Aqueous electrolyte design for super-stable 2.5 V LiMn2O4 || Li4Ti5O12 pouch cells. Nat Energy (2022).
https://doi.org/10.1038/s41560-021-00977-5
作者简介
图片
王春生,美国马里兰大学化工与分子生物工程系终身教授,ACS Applied Energy Materials副主编,陆军实验室-马里兰大学(ARL-UMD)极限电池研究中心主任。研究方向集中于新型二次电池与燃料电池。目前为止,在Science、Nature、Nature Energy、Nature Materials、Nature Nanotechnology、Nature Communications等国际顶级期刊已发表高水平SCI文章470余篇, SCI他引43000次以上,H-index为108。2013年获美国马里兰大学the A. James Clark School of Engineering青年教师杰出研究贡献奖,2015年获马里兰大学创新发明奖。
课题组主页:
https://cswang.umd.edu/dr-chunsheng-wang/

网站已关闭

您的网站已到期,请及时续费
联系电话:400-606-1198