南京工业大学《AMI》:夹层石墨烯/Bi2Te3 /石墨烯热电薄膜,具有出色的柔韧性品质因数
军工资源网 2022年05月16日1成果简介
柔性热电元件 (TE) 可以很好地贴合弯曲的人体皮肤,可以从皮肤中获取能量,因此被认为是可穿戴电子设备的有前途的便携式电源。Bi2Te3是最流行的室温热电材料,由于其刚性,在柔性器件中的应用仍然具有挑战性。尽管据报道许多基于Bi2Te3的薄膜在制成足够薄时具有柔韧性,但它们的热负荷和电负荷相当小,并且严重限制了最大功率输出。
本文,南京工业大学材料科学与工程学院 宗鹏安副教授、清华大学万春磊副教授等研究人员在《Adv. Mater. Interfaces》期刊发表名为“Sandwiched Graphene/Bi2Te3/Graphene Thermoelectric Film with Exceptional Figure of Merit for Flexibility”的论文,研究实现了具有“石墨烯/Bi2Te3 ”的厚 Bi2Te3基TE薄膜/graphene”夹层结构,由于石墨烯的出色内在柔韧性和小滑移势垒,在所有报道的基于Bi2Te3的薄膜中表现出前所未有的高柔韧性品质因数。同时,石墨烯作为快速导电通道和载流子供体,导致导电性增加。众多的石墨烯/Bi2Te3异质界面引起能量过滤效应,导致塞贝克系数增强,从而实现优化的功率因数。这项工作通过将TE纳米板嵌入二维纳米片中,为制造用于可穿戴电子设备电源的高柔性TE薄膜提供了一种具有成本效益的途径。
2图文导读

图1、通过将Bi2Te3纳米片嵌入石墨烯纳米片中合成石墨烯/Bi2Te3薄膜的示意图

图2、石墨烯/Bi2Te3复合粉末的a) TEM和b) SEM图像;c)石墨烯/Bi2Te3复合膜的表面和d)横截面SEM图( x = 0.8)。

图3、a) x = 0.8样品的弯曲状态, R s到平坦状态,R 0的电阻率变化率;b) 展示柔韧性测试的照片;c)这项工作的f FOM和其他报道的基于Bi2Te3的薄膜(插图是参考文献12和14中f FOM的放大图)。d) 增强夹层石墨烯/Bi2Te3/ 石墨烯结构柔性的机制。

图4、石墨烯/Bi2Te3界面的界面能量过滤效应示意图。

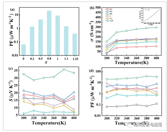
图5、a) 石墨烯/Bi2Te3混合膜在室温下的功率因数PF和 b) 电导率σ的温度依赖性(插图是x = 0 样品),c) 塞贝克系数,S和 d ) 不同石墨烯/Bi2Te3重量比(x = 0, 0.3, 0.5, 0.8, 1.0, 1.1, 1.25)样品的PF 。
3小结
